Zahlenketten genauer betrachtet
Welche mathematischen Regeln und Besonderheiten liegen dem Aufgabenformat Zahlenketten zugrunde?
Um die Vorgehensweisen der Kinder richtig einschätzen zu können, lösen Sie zunächst selbst die folgende Aufgabe:
Eigenaktivität
Finden Sie alle viergliedrigen Zahlenketten mit der Zielzahl 10. Überlegen Sie sich genau, wie Sie vorgegangen sind. Warum sind Sie sicher, dass Sie alle gefunden haben?
Kommentar zur Eigenaktivität
Kommen wir zu Eingangsbeispiel zurück. Warum erhöhen sich die Zielzahlen jeweils um 2, wenn die zweite Startzahl um 1 erhöht wird? Dazu sollen zunächst die mathematischen Regeln und Besonderheiten der Zahlenketten in einem kurzen Video genauer erläutert werden:
Sie haben im Video die Bildungsregeln einer viergliedrigen Zahlenkette genauer betrachtet. Im Folgenden wird noch einmal herausgestellt, warum der Blick auf die mathematischen Strukturen für eine ergiebige Nutzung des Aufgabenformats sinnvoll ist. Das Wissen lässt sich auf zahlreichen Ebenen für den Unterricht verwenden, auf die im Folgenden eingegangen wird:
-
Förderung der allgemeinen mathematischen bzw. prozessbezogenen Kompetenzen
-
Schülerlösungen überprüfen
-
Vorgehensweisen von Schülern antizipieren, entdecken und verstehen
-
Ausgabenformat „Zahlenketten“ nutzen und erweitern
Warum lohnt sich ein genauerer Blick auf die mathematischen Strukturen bezüglich des Unterrichts?
Schülerlösungen überprüfen
Mit dem Wissen, dass sich in die Zielzahl einer Viererkette aus der ersten Startzahl und dem Doppelten der zweiten Startzahl zweimal zusammensetzt, können nun auch Lösungen der Kinder recht einfach und schnell auf ihre Richtigkeit und Angemessenheit überprüft werden.
Vor allem bei Aufgabenstellungen, bei denen Kinder – auf ihrem individuellen Niveau nach dem Prinzip der Natürlichen Differenzierung (vergleichen Sie auch Heterogenität) – arbeiten und Entdeckungen machen, ist ein strukturelles Verständnis des Aufgabenformats zur Einordung von Lösungswegen und nicht zuletzt auch für weitergehende Aufgabenvariationen zentral. Wird zum Beispiel eine Startzahl systematisch verändert, ist es wichtig zu wissen, warum sich die Zielzahl wie verändert. Kinder sollen gemäß der Bildungsstandards Muster und Strukturen „erkennen, beschreiben und fortsetzen“ (Bildungsstandards, S. 10) können. Um die Schülerlösungen besser bewerten und einordnen zu können, braucht die Lehrkraft selbst das Wissen über die Strukturen der Zahlenketten.
Das bedeutet konkret, dass (fehlerhafte) Herangehensweisen und Argumentationen von Kindern besser und häufig auch kompetenzorientierter wahrgenommen und interpretiert werden können, wenn die Lehrkraft das Aufgabenformat strukturell durchdrungen hat. Denn wer versteht, wie das Kind gedacht haben könnte, kann auch konkreter individuelle Hilfestellungen bzw. Fördermaßnahmen anbieten.
Vorgehensweisen von Schülern antizipieren und verstehen
Nicht nur beim Überprüfen von Schülerlösungen ist die Einsicht in die mathematischen Strukturen hilfreich, sondern auch beim Antizipieren und Verstehen von Vorgehensweisen und Strategien der Kinder.
Nachdem die Klasse bereits einige Aufgaben im Kontext der Zahlenketten bearbeitet haben (siehe Unterricht), wird diese Aufgabe von den Schülerinnen und Schülern bearbeitet.

Ein (erster) Zugang für viele Kinder ist das unsystematische Ausprobieren. Sie setzen zwei Startzahlen ein und berechnen dann die Zielzahl. Dabei scheint die Auswahl der Startzahlen nicht immer einer Regel oder Systematik zu folgen. Manche Schülerinnen und Schüler verbleiben lange bei dieser Strategie. Das ist aber auch nicht bei allen Kindern der Fall. Es sollte versucht werden, die Kinder an ein systematischeres Vorgehen heranzuführen. Aber das wird sicherlich auch nicht in der ersten Unterrichtseinheit bei allen Kindern gelingen.
„Ein grundschulgemäßer Zugang besteht im systematischen Probieren“ (Scherer 1997, S. 36). Viele der systematischen Vorgehensweisen lassen sich anhand der mathematischen Überlegungen ableiten.
Bei der Bearbeitung der obigen Aufgabe hat Ron in einem ersten Schritt die Startzahlen 2 und 7 gewählt und die daraus resultierenden Folgeglieder berechnet:

Zur Lösung bieten sich verschiedene Strategien an, die im Folgenden näher beschrieben werden. Alle Strategien lassen sich auf mathematische Regeln und strukturelle Besonderheiten der Zahlenketten zurückführen. Schauen Sie sich zunächst immer erst die Kinderlösung an und versuchen Sie das Vorgehen nachzuvollziehen. Dabei sollte aber gesagt werden, dass nicht jedes Kind so systematisch vorgeht wie Ron.
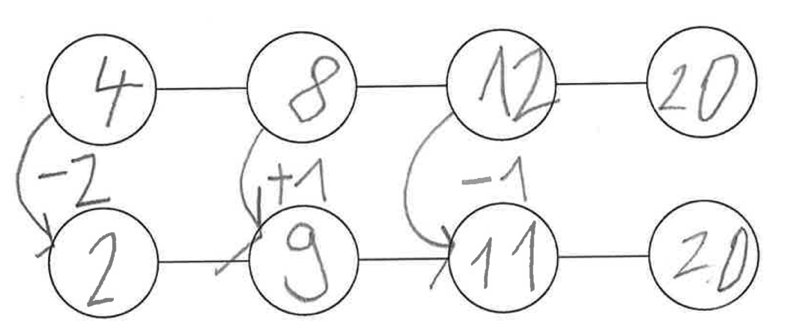
Strategie: Verändern der ersten Startzahl
Beispiel:


Erklärung der Strategie:
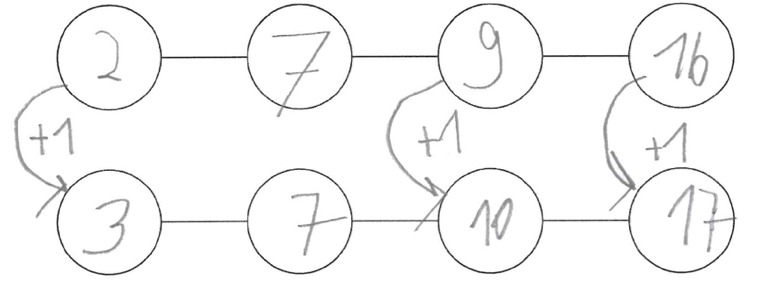
Strategie: Verändern der zweiten Startzahl
Beispiel:


Erklärung der Strategie:
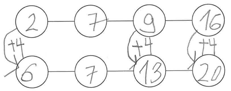
Strategie: Verändern beider Startzahlen
Beispiel:

Erklärung der Strategie:
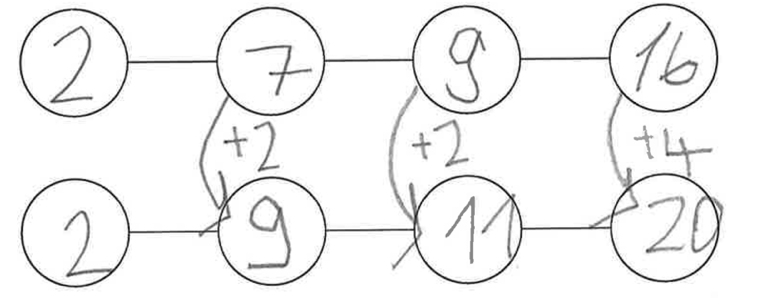
Strategie: Gegensinniges Verändern beider Startzahlen
Beispiel:

Erklärung der Strategie:
Allein diese Auswahl möglicher Überlegungen und Vorgehensweisen verdeutlicht, wie hilfreich der Einblick in die Muster und Strukturen der Zahlenketten ist. In den Bildungsstandards ist festgehalten, dass Grundschulkinder „arithmetische [...] Muster selbst entwickeln, systematisch verändern und beschreiben“ (KMK 2004, S. 10). Wie die Kinderdokumente zeigen, eignen sich die Zahlenketten im Besonderen zur Förderung dessen.
Aber diese Einsichten erlangen die Kinder nicht, ohne langsam und in durchdachten Schritten daran herangeführt zu werden. Und auch dann, wird es Kinder geben, die weiterhin unsystematisch ausprobieren und wenig Systematik annehmen. Eine solch hochsystematische Vorgehensweise wie bei Ron, kann nicht von jeden Kind erwartet werden.
Im Unterrichtsteil wird eine Möglichkeit vorgestellt, das Finden von Zahlketten zu einer vorgegebenen Zielzahl nach einigen vorangegangenen Einheiten zu thematisieren.
Aufgabenformat „Zahlenketten“ nutzen und erweitern
Die Zahlenketten sollten also nicht nur zum „bloßen Rechnen“ von Additions- bzw. Subtraktionsaufgaben genutzt werden. Es sollte immer ein Arbeitsauftrag gegeben werden, der Ihre Schülerinnen und Schüler zum Erforschen und Entdecken animiert (wie beispielsweise das Finden von Ketten zu einer vorgegebenen Zielzahl, oder das Begründen und Darstellen der Erkenntnisse). Schauen Sie nach, wie es in Ihrem Schulbuch genutzt wird, vielleicht kann die Schulbuchaufgabe auch schnell um eine solche Aufgabenstellung erweitert werden.
Auch bei der Erweiterung, Fortführung und sinnstiftenden Nutzung des Aufgabenformates sind die mathematischen Strukturen hilfreich. So können die Zahlenketten auch beliebig fortgesetzt werden und im Sinne des Spiralprinzips (Verlinkung, wenn fertig) über die Schuljahre hinweg aufgegriffen und thematisiert werden. Ein Beispiel ist die Nutzung der Zahlenketten mit mehr Elementen:
Eigenaktivität
Setzen Sie nun das gerade erarbeitete Muster für eine fünfgliedrige Zahlenkette fort. Wie sieht die Zielzahl dann allgemein aus?
Kommentar zur Eigenaktivität